ETC. 12

Mobile Security Framework (MobSF) Windows 환경 구축 (정적 분석, 동적 분석)

[공식 문서] https://mobsf.github.io/docs/#/ [Req.] - Git - Python 3.8 ~ 3.9 - JDK 8+ - MS Visual C++ Build Tools - OpenSSL (excutable) - wkhtmltopdf (add env PATH) 환경 구축 콘솔에서 설치하고자 하는 경로로 이동하고 아래 명령어를 따라치기만 하면 된다. git clone https://github.com/MobSF/Mobile-Security-Framework-MobSF.git cd Mobile-Security-Framework-MobSF setup.bat 나 같은 경우, wkhtmltopdf 패키지도 미리 설치되어 있어 requirement를 다 만족시켰다고 생각했는데 OpenSSL..

ETC. 2023.04.11

디지털포렌식전문가 2급 합격 후기 + 공부방법 정리

루팅 글에 이어 오~랜만에 블로그 글 쓰네요. 작년 말에 디지털포렌식 전문가 2급에 합격했습니다. 디지털포렌식 전문가 2급(디포전)은 한국포렌식학회와 KISA에서 공동 발급하는 국가공인 민간 자격증입니다! 아주 예전에 SQLD 대비용 PDF를 공유드리고 나서 많은 분들이 시험에 도움이되었다는 댓글을 남겨주셨어요. 지금 들어가서 다시 보니까 누적 조회수가 무려 10,000회!! (💕) 오랜만에 합격한 자격증인 만큼 이번 자격증도 제가 어떻게 공부했는지에 대한 간단한 시험 후기를 남겨보려고 합니다. 디지털포렌식 전문가 2급... 너무 기니까 디포전이라고 쓸게요 ㅎ 자격증 선택 이유 국내에서 디지털 포렌식과 관련해 운영되고 있는 자격증은 디포전이 유일합니다. 디포전은 1급, 2급 총 2개의 급수가 있는데 1급..

ETC. 2023.03.23

(review)Android Password Managers and Vault Applications: Data Storage Security Issues Identification

2022년 6월 Journal of Information Security and Applications (JISA)에 발표된 'Android Password Managers and Vault Applications: Data Storage Security Issues Identification'이라는 제목의 논문입니다. Introduction 이 논문을 언급하기 전 먼저 다른 논문을 소개드리겠습니다. 2021년에 같은 저자들이 ICAI에 'Android Password Managers and Vault Applications: Comparative Security Analysis'이라는 논문을 냈었는데요, 해당 논문에서는 PM/VA에 맡겨진 데이터가 노출될 수 있는 보안 위협을 지적하면서 4개의 인기 있..

ETC./Paper Reviews 2022.08.25

[CS/보안 기초] (1) 쿠키(cookie)와 세션(session)의 차이

오늘부터 가볍게 면접 준비도 할 겸 헷갈리는 개념도 바로 잡을 겸 이 글을 보는 다른 학생들에게 도움도 될 겸! CS/보안 기초 개념을 정리할까 한다. 쿠키와 세션을 이해하려면, 먼저 쿠키와 세션이 쓰이는 프로토콜인 http에 대해 이해해야 한다. HTTP HTTP는 클라이언트-서버 사이에 이루어지는 요청/응답(request/response) 프로토콜이다. 예를 들어 클라이언트(웹 브라우저)가 특정 웹 페이지에 접속할 경우 HTTP를 통해 해당 웹 페이지의 그림 정보 등을 서버에 요청하고, 서버는 이 요청에 응답하여 필요한 정보를 클라이언트에 전달하는 식이다. HTTP는 다음 두 가지 특징을 지닌다. Connectionless (비연결성) Stateless (무상태성) 두 성질의 차이를 쉽게 이해하려면 ..

Nmap Port Scanning with Wireshark

Nmap 이란? 네트워크 상의 '지도'를 구성할 수 있는 유틸리티. 호스트 스캐닝, 포트 스캐닝 등을 수행한다. Nmap - 위키백과, 우리 모두의 백과사전 위키백과, 우리 모두의 백과사전. Nmap(network mapper)은 원래 고든 라이온(Gordon Lyon)이 작성한 보안 스캐너이다. 이것은 컴퓨터와 서비스를 찾을 때 쓰이며, 네트워크 "지도"를 함께 만든다. 다른 간 ko.wikipedia.org Nmap 설치 (CentOS 6) # nmap 기설치 확인 rpm -qa | grep nmap # yum을 통한 nmap 설치 yum install nmap # 버전 확인 nmap -V 실습 환경 공격PC: CentOS 6, 192.168.65.159 희생PC: Windows 10, 192.168..

ETC./WEB 2021.03.29

데이터 과학 기초 + 공부 레퍼런스

데이터 데이터의 정의 관찰을 통해 수집되는 특성 또는 정보이며 현재의 팩트가 정량적으로 기록된 정보 데이터는 측정, 수집 및 보고, 분석되며 그래프나 이미지, 기타 분석 도구를 통해 시각화가 가능함 DIKW Pyramid Wisdom: 지식에 상황이나 의미 부여 Knowlege: 정보 기반으로 찾은 패턴이나 규칙 Information: Process Data, 처리 및 가공된 데이터 Data: Raw Data, 관찰 또는 측정된 객관적 사실 피라미드를 올라갈수록 데이터가 많이 정제되고 그 가치가 올라감 빅데이터 vs 공공데이터 vs 연구데이터 빅데이터: 기존 DB 관리 능력을 넘어서는 대량의 정형/비정형 데이터를 포함한 데이터로부터 가치를 추출하고 결과를 분석하는 기술 공공데이터: DB, 전자화된 파일 ..

ETC./Data Science 2020.12.24

10 우선순위 큐

10.1 우선순위 큐 도로에서 사이렌을 울리는 구급차나 소방차가 일반 승용차보다 우선순위가 높은 것처럼, 컴퓨터에서도 우선순위의 개념이 필요할 때가 있다. 예를 들어 네트워크 패킷 중에서 네트워크 관리와 관련된 패킷은 다른 것들보다 우선순위를 가진다. 따라서 자료구조에서도 이러한 우선순위를 지원할 필요가 있다. 우선순위 큐Priority Queue는 이런 우선순위의 개념을 도입한 자료구조로, 마치 FIFO 원칙을 따르는 큐처럼, 우선순위를 가진 데이터들 중 높은 순 먼저 출력한다. 다양한 방법으로 구현이 가능하지만 가자 효율적인 구조는 힙heap이다. 따라서 우선순위 큐를 힙 트리Heap Tree라고도 부른다. 우선순위 큐 추상 자료형 우선순위 큐는 우선순위 값을 가진 요소들의 모임이다. 역시 요소의 삽..

ETC./Data Structure 2019.12.04

09 이진 탐색 트리

9.1 이진 탐색 트리 자료구조의 관점에서 탐색search은 자료구조의 중요한 응용 분야 중 하나로 탐색을 위해 특화된 이진트리인 이진 탐색 트리에 대해 알아보자. 탐색 탐색은 레코드record의 집합에서 특정 레코드를 찾아내는 것으로, 레코드들의 집합을 테이블table이라고 한다. 즉 테이블에서 특정한 레코드를 찾는 것이 탐색이다. 레코드는 1개 이상의 필드field로 구성된다. 예를 들어, '학생'에 관한 레코드는 이름, 학번, 학과 등의 필드로 구성된다. 레코드들은 보통 키key라고 불리는 하나의 필드에 의해 구별된다. 키는 서로 중복되지 않는 고유한 값을 가지며 이 키를 사용해 레코드들을 구별할 수 있다. 이 키를 주요키primary key라고 부르며 탐색은 입력된 어떤 키를 사용해 레코드를 찾는..

ETC./Data Structure 2019.12.04

08 트리

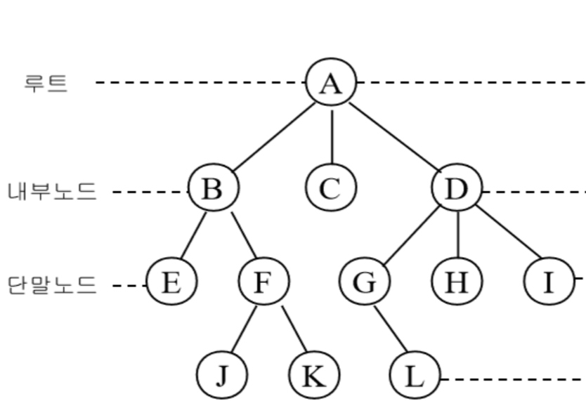
8.1 트리의 개념 스택, 큐, 리스트는 모두 자료들이 일렬로 나열된 형태인 선형 자료구조linear data structure이다. 하지만 자료들이 계층 구조를 가지고 있다면? 컴퓨터 폴더 구조나 가계도, 조직도 등의 자료를 표현하고 싶을 땐 선형 구조로는 충분하지 않다. 이렇게 계층적 구조hierarchical structure를 표현하는 데 이용되는 자료구조가 트리tree이다. 트리의 용어 트리의 구성 요소에 해당하는 A, B, C, ..., K, L을 노드node라고 한다. 트리는 한 개 이상의 노드로 이루어진 유한 집합이다. 계층 구조에서 가장 위에 있는 노드를 루트 노드root node라고 한다. 위의 그림 8.1에서의 루트 노드는 A이다. 루트를 뺀 나머지 노드들은 서브트리subtree라고 ..

ETC./Data Structure 2019.12.03

파일 다운로드 취약점

파일 다운로드 일반적으로 웹 서버에 올라간 파일을 사용자에게 보여주는 방식은 크게 두 가지: 1) Dynamic 처리; 파라미터를 통해 사용자 접근을 허용함 bbsDownload.jsp에서 filename이라는 고세서 kaist.hwp를 사용자에게 제공한다. 2) Static 처리; 웹 서버의 특정 물리적인 디렉토리를 링크처리해서 사용자에게 뿌려줌 bbsDownload 밑의 kaist.hwp 파일을 사용자에게 뿌려준다. -취약성) Dynamic 처리 상위 디렉토리로 계속 올라가서 etc파일 밑에 passwd 파일에 접근할 수 있다. (1) 취약한 소스 예제 사용자가 파일을 요청하면, $exist 변수에 넣고, 요청한 파일이 있으면 fopen()을 이용하여 읽기모드로 파일을 읽는다. 이렇게 파라미터들을 다..

ETC./WEB 2019.11.12